Proyecto Erica: Avances en la optimización del riego del almendro en AragónEl Proyecto ERICA avanza con paso firme en su objetivo de poner a disposición del sector frutícola aragonés una nueva metodología integral de riego que simplifique la toma de decisiones agronómicas para optimizar la eficiencia en el uso del agua y los resultados productivos de las explotaciones de almendro.
En este contexto, uno de los objetivos técnicos de esta iniciativa pionera, es el de buscar, calibrar y aplicar un índice de estrés hídrico (CWSI) específicamente adaptado a este cultivo, utilizando tecnología basada en cámaras térmicas (IRT) y sensores agroambientales para optimizar la eficiencia en el uso del agua.
El CWSI (Crop Water Stress Index) es un índice adimensional que refleja el nivel de estrés hídrico de las plantas, en una escala de 0 (sin estrés) a 1 (estrés total).
Se basa en comparar la Tº foliar del cultivo con la Tº ambiental del aire durante las horas centrales del día, y evaluar este ΔTº frente al esperado en un cultivo sin riego (WSB) y otro perfectamente regado (NWSB), bajo las mismas condiciones ambientales.
Durante la campaña del 2024, se ha trabajado en desarrollar un algoritmo que permita calcularlo de forma automática y en tiempo real, con valores ajustados a nuestras condiciones de cultivo.

Para ello, se han ejecutado un conjunto de ensayos, cuyos resultados han permitido obtener de forma exitosa las “lineas base” específicas para los almendros de la variedad “Penta”.
Posteriormente, mediante técnicas avanzadas de análisis y procesamiento de datos, se han puesto a punto varias versiones del este nuevo índice, que ya están integradas en una herramienta digital (Cesens®) para su consulta inmediata. En este sentido, destacar que se ha tratado de corregir la influencia de otros factores climáticos como el DPV o la radiación solar, y se ha evaluado la idoneidad de fragmentar estas lineas base a lo largo de la campaña (de acuerdo con los distintos periodos de desarrollo del cultivo), o incluso de distinguir entre franjas horarias del dia, siendo esta última estrategia con la que mejor se ha conseguido ajustar las regresiones.

Para asegurar la fiabilidad del sistema, se han validado los datos del CWSI con medidas tomadas manualmente, incluyendo lecturas de temperatura foliar y cámara de presión tipo Scholander. Además, se han analizado sus relaciones con parámetros clave como el contenido de agua útil en el suelo y el déficit de presión de vapor (DPV).


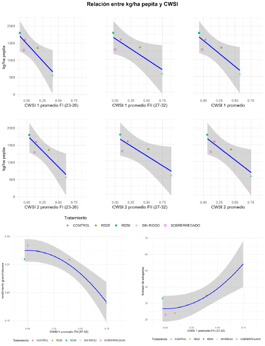
Uno de los hitos más relevantes ha sido evaluar cómo influye el nivel de estrés hídrico en el rendimiento productivo. Para ello, se ha recalculado el CWSI para todos los puntos de monitoreo a lo largo de la campana, y se han comparado los resultados de cosecha en los cinco tratamientos de riego ejecutados: desde el sobreriego (NWSB) hasta el no riego (WSB), pasando por dos estrategias de riego deficitario (RD25 y RDC50).
Los análisis estadísticos realizados han demostrado una buena correlación entre el CWSI y parámetros como el rendimiento (kg/ha), el peso medio del grano o el número de almendras arrugadas. Estos resultados abren la puerta a establecer umbrales óptimos de riego según la etapa fenológica del cultivo.

Durante la campaña 2025, el proyecto se centrará en validar estos resultados y en definir valores consigna de CWSI que sirvan como referencia práctica para una gestión hídrica más eficiente, basada en datos reales y adaptada al cultivo del almendro. Estamos convencidos de que estos avances representan un gran paso hacia una agricultura más inteligente, sostenible y rentable.
